2025 Mid-Season F1 Driver Ratings

Summer break means time to look at how the model’s driver ratings are shaping up. 2025 has so far not delivered what the second half of 2024 promised. McLaren have been dominant with little chance of anyone else getting involved in the fight. However, 2025 offers some interesting new teammate pairings. The mathematical model seeks to eliminate the factor car by only measuring drivers against their teammates.

How Does It Work?

My model was inspired by the amazing f1metrics model and therefore shares a significant portion of its methodology.

Step 1 was to introduce a unified points system. P1 gets 10p, P2 gets 10p*0.72=7.2p, P3 gets 7.2p*0.72=5.18p …. etc. all the way to P20. Driver related DNFs are scored with 0p.

Then the 2 teammates get their points assigned for every race. Races where one driver has mechanical issues are excluded (or corrected if possible). Driver errors and other incidents are also excluded (or corrected if possible). Now the points are tallied up and converted on an s-curve. The difference between the two values of the drivers is the performance difference between them.

In combination with functions for age and experience (I use those of the f1metrics model), doing this with all drivers over a lot of seasons, results in a pretty sturdy web of relative driver performances. While building this web, I am not looking for a compromise of all seasons but instead a most perfect fit.

Season Ratings

Now that I have performance ratings (later referred to as ceiling/pace/potential) for the drivers, I can get a value for the car/team in a season since

(points)=(driver performance)+(car performance)

and therefore

(car performance)=(points)-(driver performance)

The driver errors are then added back in, giving a new points total, and through

(points)-(car performance)=(driver performance)

I get the actual performance of the drivers in that season. Those performance ratings are then translated back over the s-curve to give a “points per race rating” which goes from 0-10. That is then multiplied by 10 to get a neat driver score of 0-100.

As you can see, the major difference to the f1metrics model is the handling of driver errors. In my opinion this results in more accurate ratings as the amount of errors a driver makes can vary widely from season to season. Secondly, it has the advantage of untieing teammates in a season. A drivers rating won’t automatically get boosted just because his teammate is having a shocker.

At its core the model is assessing a drivers ability to score points with

(total points)=(possible points)-(lost points)

This can be abstracted onto the drivers. Simplified the drivers’ season ratings can then be understood as

(driver rating)=(driver pace)-(driver mistakes)


To help give some perspective for the ratings I made these tiers:

  • S – above 89
  • A – above 82
  • B – above 73
  • C – above 62
  • D – above 50
  • F – below 50

From going through all the data and seasons, I would say that generally a good season has a score above 73. Keep in mind, though, that there are no real cut lines. Another bit of context is that the median performance usually sits somewhere in the 60s. Over the last couple of years, it has crossed over into the 70s, which is the first time this happened since the 70s.

Each driver has their own entry including a graph documenting the change of their season rating through the races, a short summary and of course the actual rating. Behind the rating (in parentheses) you’ll find the drivers expected baseline rating for the 2025 season. It roughly equates to pace and can be understood as a ceiling (only for this season since this value moves with age and experience). It gives you a better understanding and context for the actual driver rating in terms of underperformance, mistakes, consistency, speed etc.

The “Rookies and Yukis”

21 – Jack Doohan – 23.3 (40.7)

Did Jack Doohan get enough time to be accurately rated? No, but even a generous estimate based on what he did show would not amount to Doohan becoming a good Formula 1 driver. In a very perverse, cut-throat way, his firing was 100% the right call.

20 – Yuki Tsunoda – 40.0 (78.2)

The situation at Red Bull definetly seems harmful to Yuki Tsunoda’s performance, but at the end of the day, he is just not doing a good job.

19 – Gabriel Bortoleto – 42.3 (63.4)

For the longest time it didn’t look good for Gabriel Bortoleto. While he was competitive with Hulkenberg on Saturdays, he was genuinely lacking on Sundays. Add to that a portion of bad luck and you get an abysmal rating. However, just before the summer break, Bortoleto started to stage a comeback, and somewhat closed in on his fellow rookies. Where exactly his ceiling will be is still very unclear but it doesn’t seem likely to be amongst the greats

18 – Liam Lawson – 45.7 (61.7)

Liam Lawson actually doesn’t have a ceiling in the model because he doesn’t have 2 data points supporting the same trajectory yet. With his teammate, Hadjar, being a rookie and therefore not having a ceiling either, the two of them can’t really be rated by the model. I did my best to see whether there might be a situation which works with the Tsunoda-Lawson-2024 delta, the Lawson-Hadjar-2025 delta, and the start of the season with Tsunoda and Hadjar (including some speculation). This is the result. More information is needed.

17 – Isack Hadjar – 48.6 (56.8)

Since neither Lawson nor Hadjar have a ceiling yet (as 2 matching data points are required), Isack Hadjar really has no rating. However, this is the best estimate.

The “So-So Squad”

16 – Kimi Antonelli – 59.2 (65.1)

While Antonelli started off more than decently, he seems to be spiraling in the last couple of races, and it’s not just Mercedes’ performance dwindeling. However, even when he looked good he wouldn’t have been expected to be “the next Verstappen”. His earlier delta to Russell put him more in a “next Hamilton” class. On the flip side, even after his poor patch of form, he would still be expected to eventually have a slightly higher ceiling than Russell (for anyone wondering who would make room for Max Verstappen if that ever happens).

15 – Franco Colapinto – 60.1 (66.8)

Franco Colapinto is doing fine. He is a very clear improvement over Doohan, but it hasn’t been too noticeable due to Alpine losing form.

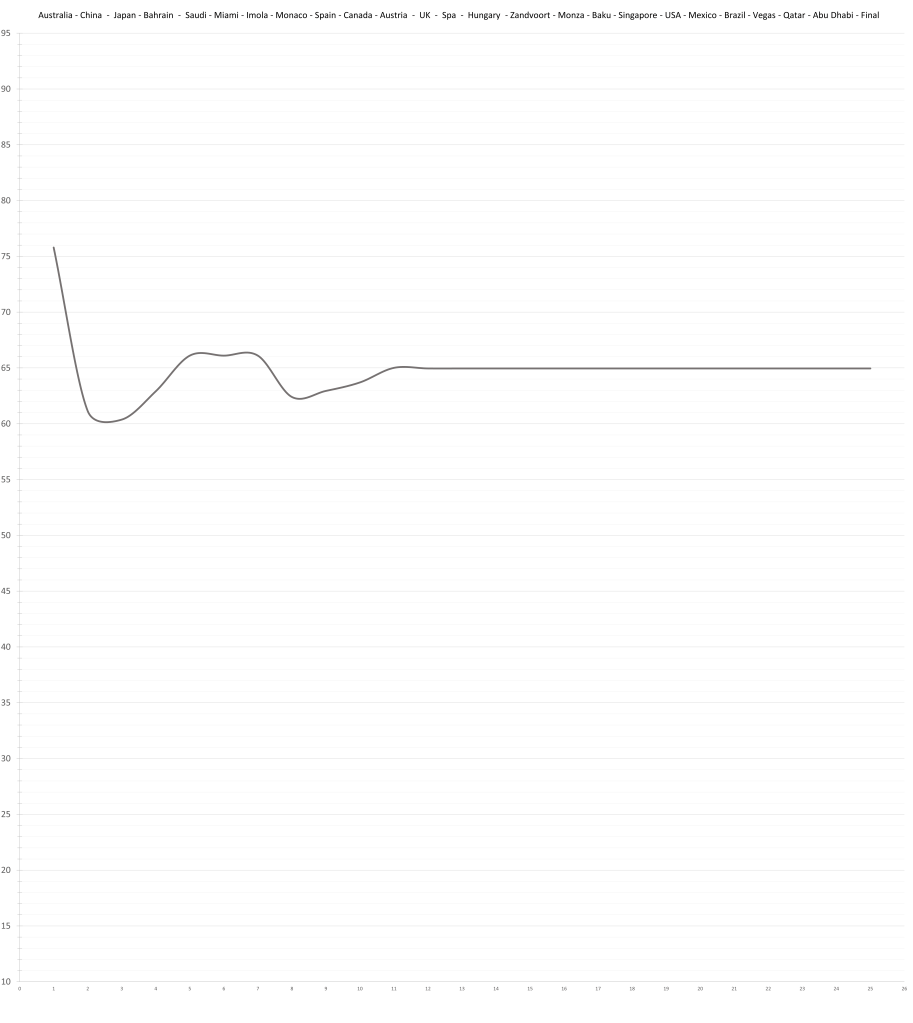
14 – Carlos Sainz – 61.6 (83.2)

Shades of 2018 and 2022 for Carlos Sainz. While he got unlucky in various instances, his deficit to Albon is undeniable. One would have hoped that he managed to overcome his difficulties with oversteer at Ferrari, but if this does in fact turn out to be another 2018/2022-esque underperformance by Sainz, it also confirms that he got Ferrari to bring the car towards him instead of adapting.

13 – Lance Stroll – 62.7 (74.1)

Lance Stroll is equal to Alonso on points. However, according to the model, he is underperforming; his delta to Alonso has been larger than expected so far. And yet, his rating is just as “good” as it has been in the previous seasons due to being there when it matters.

12 – Oliver Bearman – 65.0 (67.9)

Ollie Bearman has been the best rookie in every way up to this point. He has pace, potential, and consistency. Currently, he is looking like a high 80s prospect.

11 – Nico Hulkenberg – 68.5 (68.5)

There is a good chance that with further connections to Bortoleto Hulkenberg’s 2025 rating will dip slightly in the future. But who cares? He was on the podium.

The “Good Ones”

10 – Fernando Alonso – 74.8 (81.4)

Fernando Alonso had a slow start to the season, but by now he has a healthy lead over Lance Stroll – in the model’s ratings that is.

9 – Pierre Gasly – 75.6 (80.2)

Piere Gasly is doing well. No more, no less.

8 – Lewis Hamilton – 77.0 (84.2)

Much has been made of this oh-so-gross underperformance by Lewis Hamilton. “Leclerc has more experience in the team”, “the car doesn’t suit him”, “he can’t get on with ground effect”, or even “2021 broke him” are not rarely heard. None of them really ring true. At most, he struggled slightly with adapting to the car’s characteristics. The actual answer is “he’s 40”. He was getting on fine in 2022 and 2023, while still steadily declining. The only new thing is costly mistakes in qualifying which started in 2024. Other than that, he is where he was expected to be.

While not exactly setting the world alight on pace, Hamilton was driving very cleanly, and consistently hauled in points. His rating bounced around between 5th and 8th, amongst the guys fighting for the championship, who are being fawned over. Briefly, after Silverstone, he even found himself in 4th. However, Spa and Hungary showed his 2024 face where lackluster Saturdays too often ruined the weekends.

7 – Esteban Ocon – 78.1 (81.4)

Esteban Ocon has been sneakily good so far. There really isn’t much to tell, as there is no new information coming from his rookie teammate.

6 – Lando Norris – 78.8 (89.3)

This is honestly pretty bad by Lando Norris. He is still among the best performing drivers on the grid, but he should really be a clear 3rd with his abilities. He still has a significant pace advantage over Oscar Piastri (which will continue to erode over the coming years), yet he trails him in the ratings and the championship. Too often has he made a mistake in qualifying and even the races. This is particularly hurtful when he looked the quicker driver throughout the weekend.

5 – Oscar Piastri – 79.6 (84.9)

Oscar Piastri and Lando Norris have been neck and neck with many swaps so far. Right now, Oscar is back ahead, but it’ll be interesting how this develops.

Piastri seems to be ahead of Norris in everything bar pace, where Lando still enjoys a sizeable advantage. This will be less and less the case over the next few seasons.

4 – George Russell – 82.9 (85.2)

George Russell held a relatively lonely 3rd place for most of the season, until he, like Charles Leclerc, had a shockingly bad outing at the British Grand Prix in an attempt to gamble for something big. The model currently holds him as the 4th fastest driver in F1 behind Verstappen, Leclerc, and Norris, but Piastri will likely have overhauled him by next year.

3 – Alex Albon – 82.9 (83.2)

Shock, horror – he really is that good? Albon is absolutely bringing it against Carlos Sainz. The model expected Sainz and Albon to be each others equals, but Alex has clearly had the upper hand thus far. If he can confirm this delta in 2026, his ceiling will jump up, ahead of Russell, due to his slim data. However, it seems at least somewhat likely that this season is similar to 2018 and 2022 for Sainz, where he had a similar deficit to his expected potential due to an oversteery car, which is clearly a weakness in his game.

Just to make this perfectly clear, Sainz’ likely underperformance is not pushing Albon’s rating up. This is an impossibility in this model. Albon is just also having a superb season right now.

The “Underutilized”

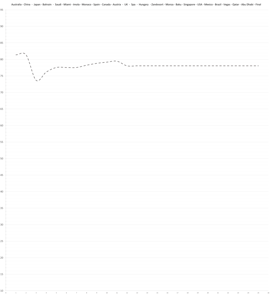
2 – Charles Leclerc – 90.4 (92.1)

This combination of childhood rivals has been the 1-2 in every season since 2019 for the model, and they’re absolutely clear of the rest this year. Unfortunately for the Monegasque, it’s been the same order all the way through. However, Leclerc is getting his rating closer and closer (see below), and so far, 2025 is a further step in that direction for the future top 10 all-time great.

The diagram is showcasing something else too, though. Even this, which would be Leclerc’s finest season ever, wouldn’t beat any of Verstappen’s last 5 seasons. Visible is the difference between an all-time great and a GOAT candidate; so close and yet so far.

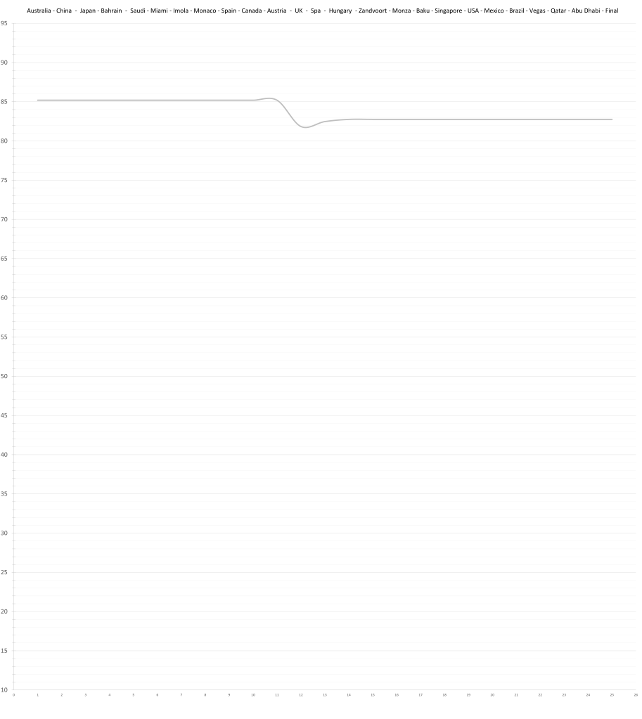
1 – Max Verstappen – 91.7 (92.9)

Boring. It’s a good thing Formula 1 isn’t a spec series because Max Verstappen is on a unique streak of 90+ performances since 2021. No other driver has held this high of a level this consistently, according to the model. In fairness, Schumacher was somewhat hindered by a broken leg; otherwise his 1996-2001 stretch might even eclipse Verstappen.

A Quick look At The Teams

  1. McLaren
  2. Mercedes
  3. Red Bull
  4. Ferrari
  5. Sauber
  6. Racing Bulls
  7. Aston Martin
  8. Williams
  9. Haas
  10. Alpine

McLaren are on their way to one of the most dominant cars of all time, and it’s wierd how that happened twice within 3 years and the same regulation cycle, with two different teams.

Behind them, it’s really all one big midfield. While Mercedes, Red Bull, and Ferrari are at the front of this midfield, their much superior drivers exaggerate the gap to those behind. Sauber, after an incredible upgrade in Spain, are right there with them, and Racing Bulls’ worst driver pairing of the season is genuinely enjoying one of the best cars on the grid. Williams on the other hand is flattered by it’s drivers, even though they clearly made a big step up from last year. And then there is Alpine, and they’re just as bad as they look.

If you want to support this project, please consider leaving a tip

One-Time
Monthly
Yearly

Make a one-time donation

Make a monthly donation

Make a yearly donation

Choose an amount:

€10.00
€20.00
€50.00
€5.00
€15.00
€100.00
€5.00
€15.00
€100.00

Or pick a different amount:


Your contribution is appreciated.

Your contribution is appreciated.

Your contribution is appreciated.

DonateDonateDonate

Comments

5 responses to “2025 Mid-Season F1 Driver Ratings”

  1. Amelia Kreutz Avatar
    Amelia Kreutz

    Does the model still have Piastri not ever eclipsing Norris on pure pace?

    Norris is clearly rapid, but his struggles with the car early in the season were sad to see. I’m glad McLaren developed a new suspension for him.

    However, I expected him to start dunking 3-4 tenths on Piastri again after he became more comfortable in the car, but Imola, Spain, Silverstone and Hungary were a bit shocking. He had a big advantage over Piastri on all of these tracks in 2023 and 2024.

    It’s strange how he found his X factor again in Monaco (even before his tailor-made suspension) and even out-qualified Piastri in Spa (his worst track), but still allows Piastri to have a tenth over him most of the time.

    I’m very interested in how their 2nd half the season will go, because almost all of the tracks are those where Piastri genuinely sucked last year.

    Like

  2. Jellyfish Avatar
    Jellyfish

    Colapinto at 15th ahead of every other rookie doesn’t pass the smell test. Model is wack.

    Like

    1. Fernando Pereira Avatar
      Fernando Pereira

      Cola’s not ahead of every other rookie, though. Bearman was barely an F1 driver in 2024, so he’s about a 70%+ something rookie this year. But I agree that the rating is suspicious.

      However, so far, I have yet to see any mathematical model without a few anomalies. Cola might be somewhat of a potential blind spot here.

      Like

  3. Mangold Avatar
    Mangold

    Really insightful. A big thanks, love to read your stuff.

    Although I like checking these types of analysis, it’s hard to acknowledge that it’s a big midfield and Sauber is so close to Ferrari. So even though I know, it feels weird. Let alone for people who have no actual clue who is better than who. Even more funny: in the Netherlands some media are saying Max is over his peak etc. haha. F1 has a lovely hidden shadow side in this type of analysis: the real F1 competition.

    Like

  4. Onni Avatar
    Onni

    very interesting project. Would be interesting to hear about older seasons and decades.

    Like

Leave a comment